Официальное опубликование правовых актов
ОФИЦИАЛЬНОЕ ОПУБЛИКОВАНИЕ
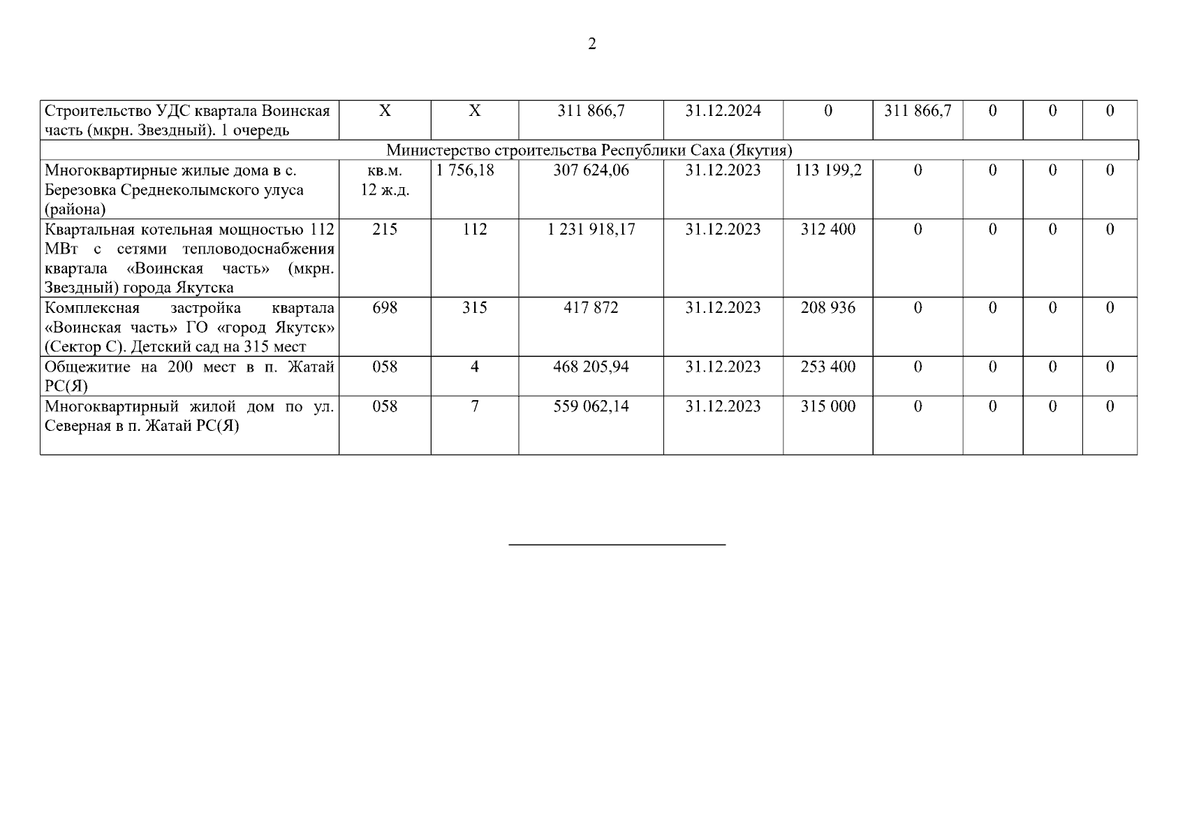
Постановление Правительства Республики Саха (Якутия) от 26.12.2023 № 642
"О внесении изменений в государственную программу Республики Саха (Якутия) "Обеспечение качественным жильем", утвержденную постановлением Правительства Республики Саха (Якутия) от 18 июля 2022 г. № 428"
Номер опубликования: 1400202312290007
Дата опубликования: 29.12.2023
Страница №30 из 37:
Увеличить