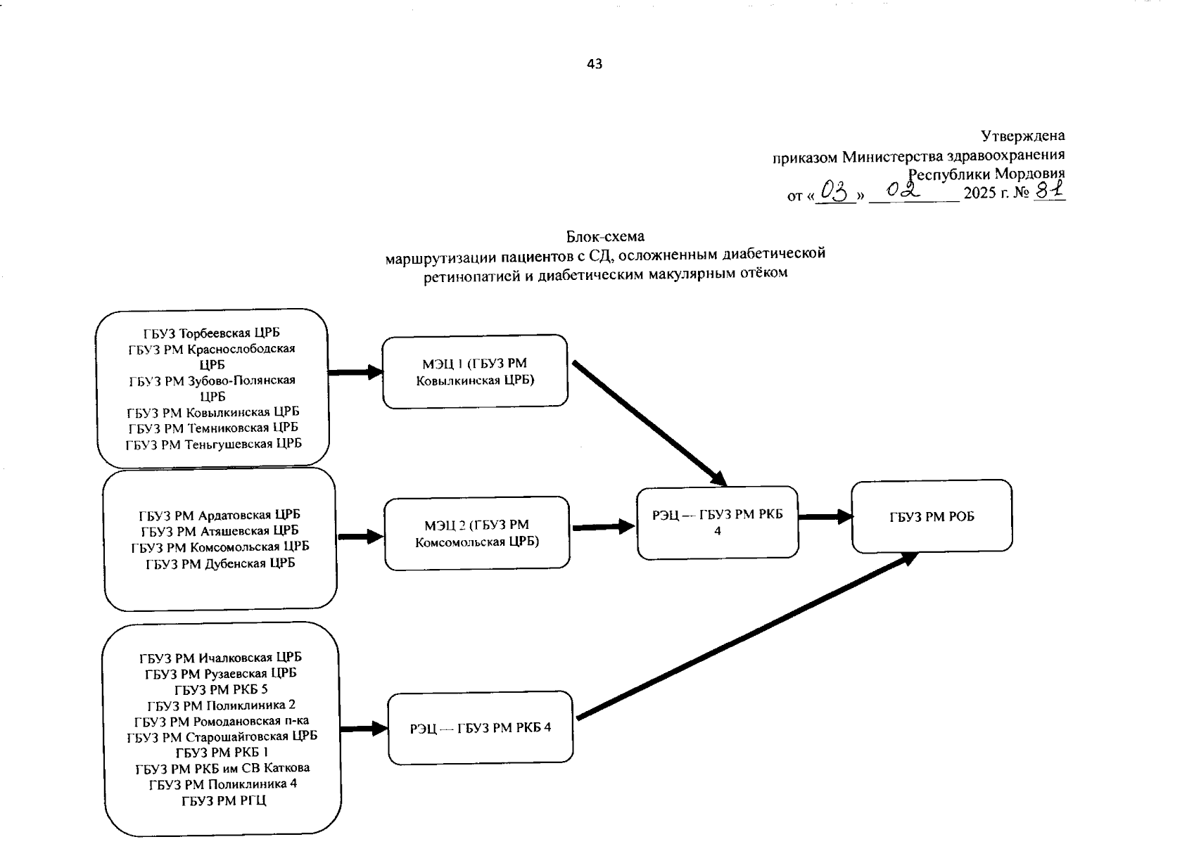
Приказ Министерства здравоохранения Республики Мордовия от 03.02.2025 № 81
"Об утверждении маршрутизации пациентов с сахарным диабетом на территории Республики Мордовия"
(Зарегистрирован 03.02.2025 № 022025003)
"Об утверждении маршрутизации пациентов с сахарным диабетом на территории Республики Мордовия"
(Зарегистрирован 03.02.2025 № 022025003)
Номер опубликования: 1301202502040005
Дата опубликования:
04.02.2025
