Официальное опубликование правовых актов
ОФИЦИАЛЬНОЕ ОПУБЛИКОВАНИЕ
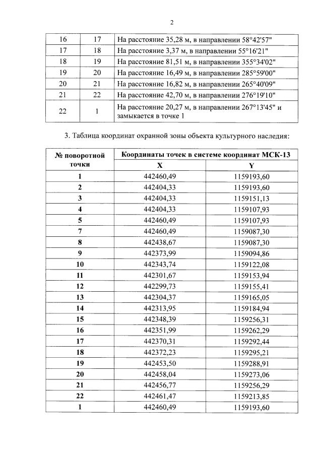
Приказ Министерства культуры, национальной политики и архивного дела Республики Мордовия от 24.02.2022 № 64
"Об утверждении зон охраны, режимов использования земель и требований к градостроительным регламентам в границах территории зон охраны объекта культурного наследия регионального значения "Место усадьбы флотоводца Ф.Ф. Ушакова"
Номер опубликования: 1301202203010001
Дата опубликования: 01.03.2022
Страница №4 из 14:
Увеличить