Официальное опубликование правовых актов
ОФИЦИАЛЬНОЕ ОПУБЛИКОВАНИЕ
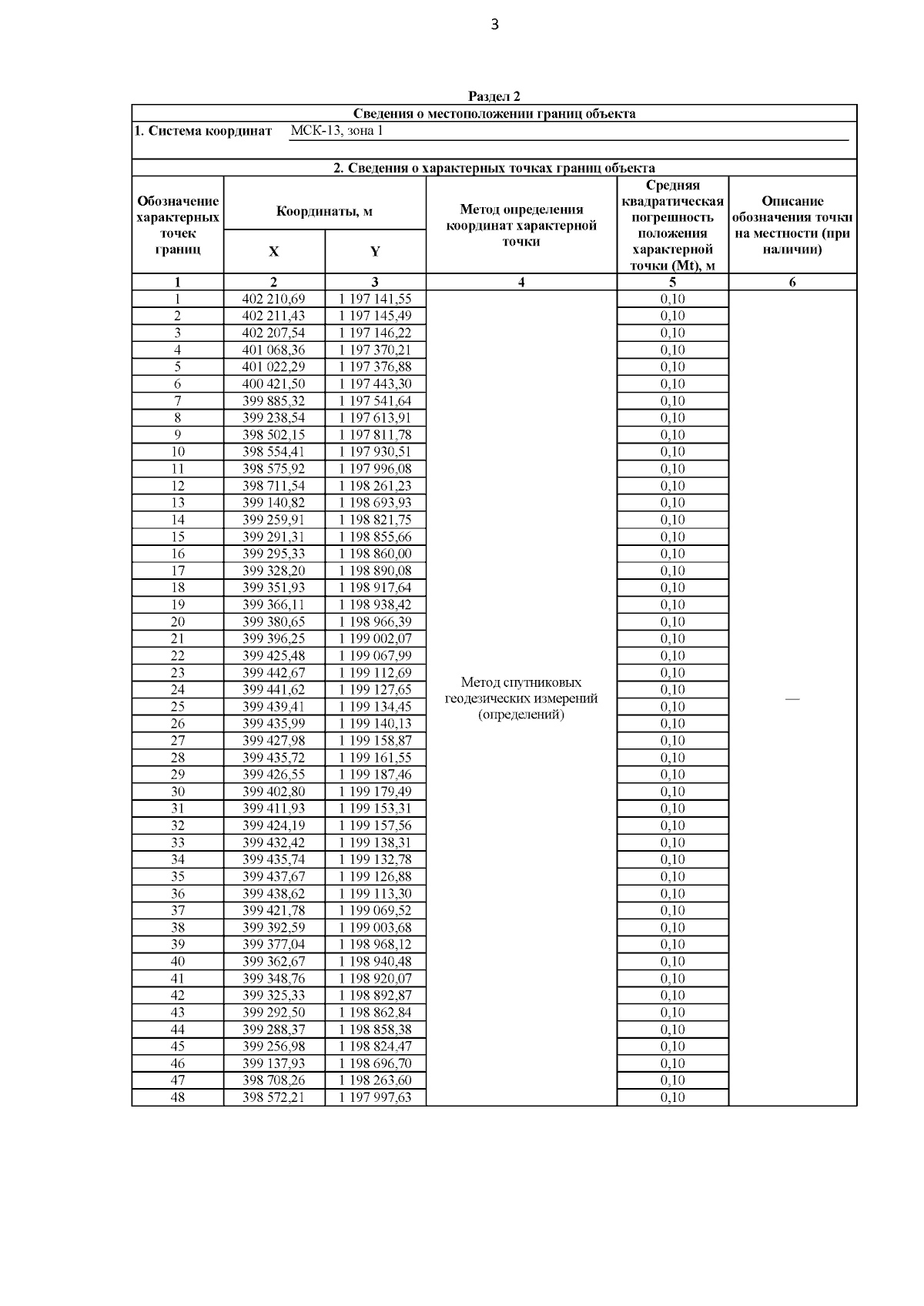
Постановление Правительства Республики Мордовия от 02.10.2023 № 505
"Об утверждении границы охранной зоны газораспределительной сети"
Номер опубликования: 1300202310040014
Дата опубликования: 04.10.2023
Страница №4 из 16:
Увеличить