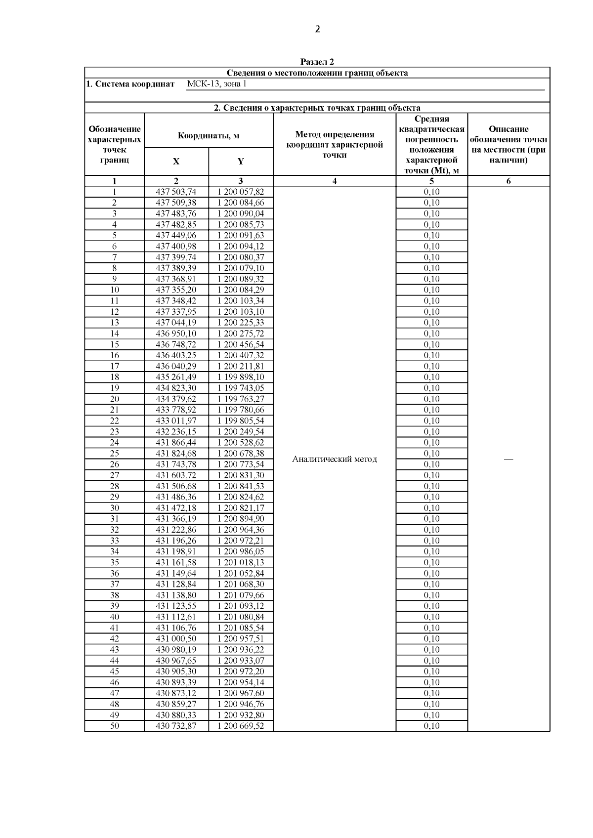
Постановление Правительства Республики Мордовия от 04.09.2023 № 436
"Об утверждении границы охранной зоны газораспределительной сети"
"Об утверждении границы охранной зоны газораспределительной сети"
Номер опубликования: 1300202309050015
Дата опубликования:
05.09.2023
