Официальное опубликование правовых актов
ОФИЦИАЛЬНОЕ ОПУБЛИКОВАНИЕ
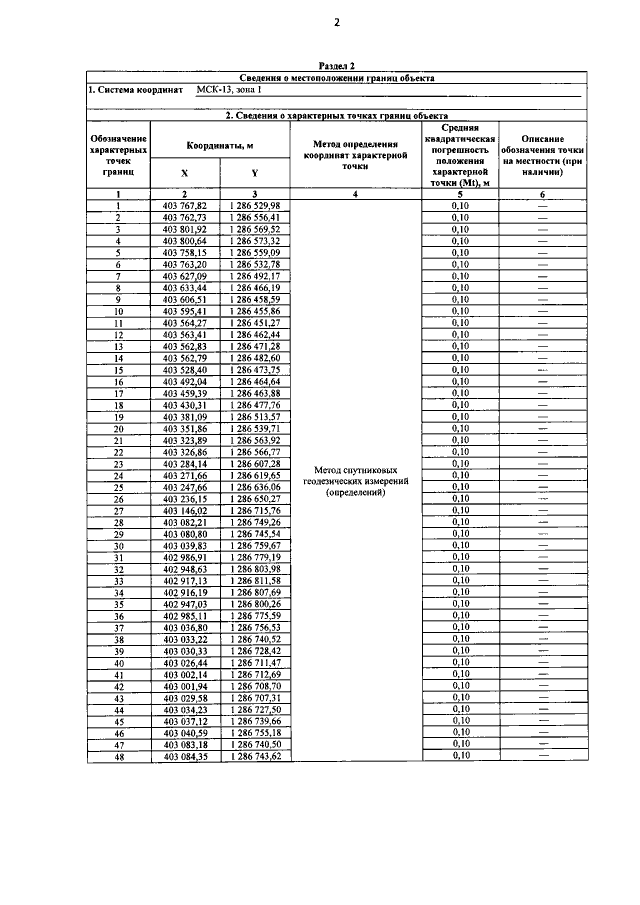
Постановление Правительства Республики Мордовия от 29.03.2022 № 308
"Об утверждении границы охранной зоны газораспределительной сети"
Номер опубликования: 1300202203300023
Дата опубликования: 30.03.2022
Страница №3 из 13:
Увеличить