Официальное опубликование правовых актов
ОФИЦИАЛЬНОЕ ОПУБЛИКОВАНИЕ
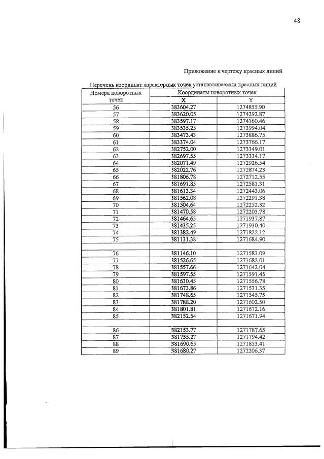
Постановление Правительства Республики Мордовия от 04.09.2020 № 519
"Об изменении площади и границ лесов, расположенных в лесопарковых зонах"
Номер опубликования: 1300202009070003
Дата опубликования: 07.09.2020
Страница №50 из 180:
Увеличить