Постановление Правительства Республики Мордовия от 07.02.2020 № 115
"Об утверждении границы охранной зоны газораспределительной сети"
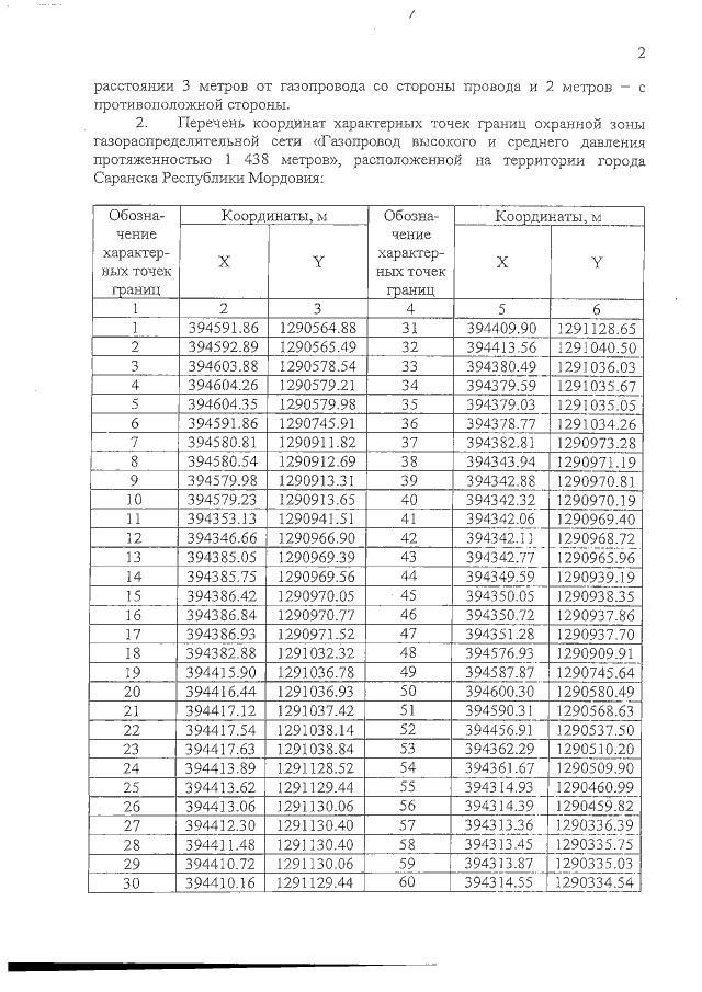
"Об утверждении границы охранной зоны газораспределительной сети"
Номер опубликования: 1300202002120003
Дата опубликования:
12.02.2020
