Официальное опубликование правовых актов
ОФИЦИАЛЬНОЕ ОПУБЛИКОВАНИЕ
Приказ Министерства строительства, жилищно-коммунального хозяйства и энергетики Республики Карелия от 12.08.2024 № 37/МСЖКХиЭ-П
"Об утверждении внесения изменений в документацию по планировке территории"
(Зарегистрирован 13.08.2024 № 641)
Номер опубликования: 1001202408140002
Дата опубликования: 14.08.2024
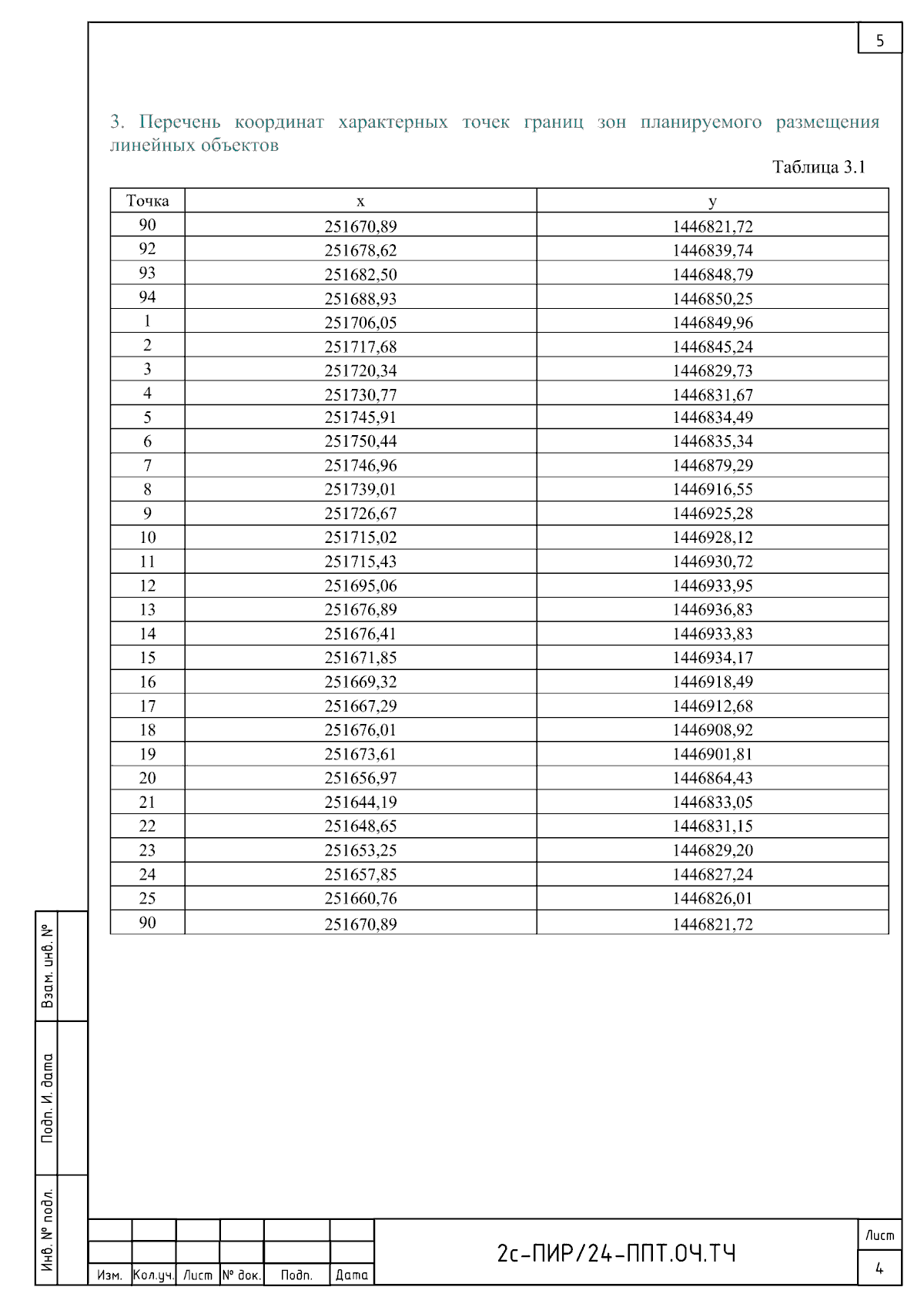
Страница №13 из 32:
Увеличить