Официальное опубликование правовых актов
ОФИЦИАЛЬНОЕ ОПУБЛИКОВАНИЕ
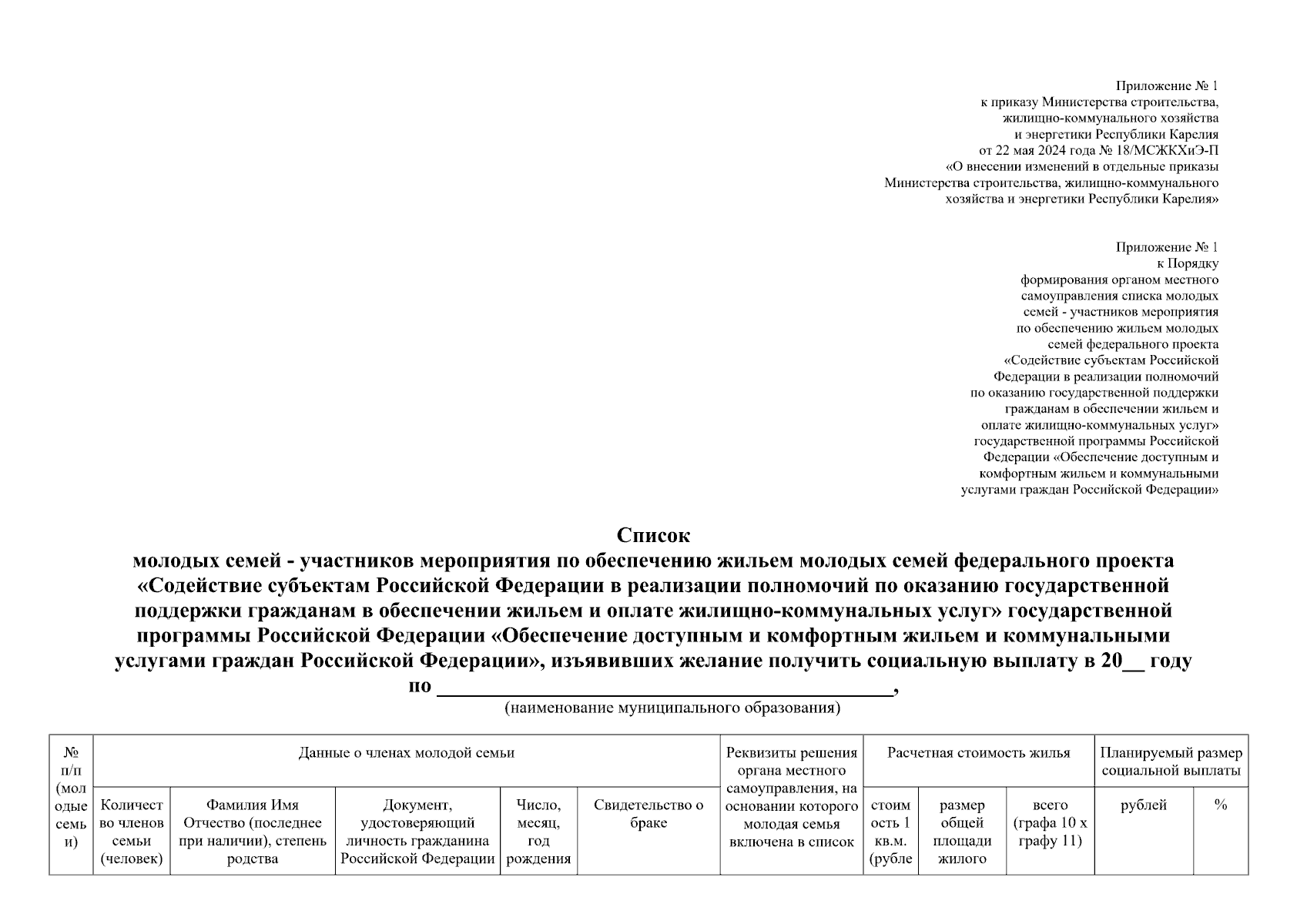
Приказ Министерства строительства, жилищно-коммунального хозяйства и энергетики Республики Карелия от 22.05.2024 № 18/МСЖКХиЭ-П
"О внесении изменений в отдельные приказы Министерства строительства, жилищно-коммунального хозяйства и энергетики Республики Карелия"
(Зарегистрирован 24.05.2024 № 431)
Номер опубликования: 1001202405280005
Дата опубликования: 28.05.2024
Страница №7 из 13:
Увеличить