Официальное опубликование правовых актов
ОФИЦИАЛЬНОЕ ОПУБЛИКОВАНИЕ
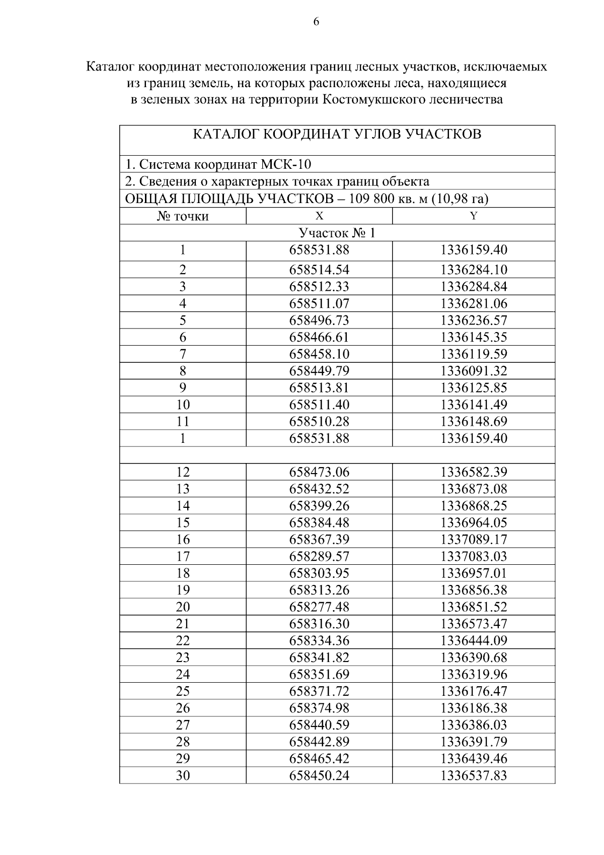
Постановление Правительства Республики Карелия от 05.10.2023 № 468-П
"Об изменении границ земель, на которых расположены леса, находящиеся в зеленых зонах на территории Костомукшского лесничества Республики Карелия"
Номер опубликования: 1000202310100005
Дата опубликования: 10.10.2023
Страница №8 из 13:
Увеличить