Официальное опубликование правовых актов
ОФИЦИАЛЬНОЕ ОПУБЛИКОВАНИЕ
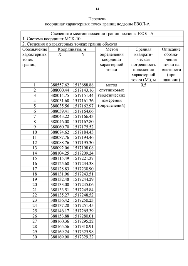
Постановление Правительства Республики Карелия от 15.03.2023 № 119-П
"Об установлении объединенной зоны охраны объекта культурного наследия федерального значения "Успенская церковь (деревянная)", 1764 г., и объектов культурного наследия регионального значения, расположенных по адресу: Республика Карелия, Кондопожский район, г. Кондопога, ул. Кондопожская, и утверждении требований к градостроительным регламентам в границах территории данной зоны"
Номер опубликования: 1000202303160001
Дата опубликования: 16.03.2023
Страница №16 из 57:
Увеличить