Официальное опубликование правовых актов
ОФИЦИАЛЬНОЕ ОПУБЛИКОВАНИЕ
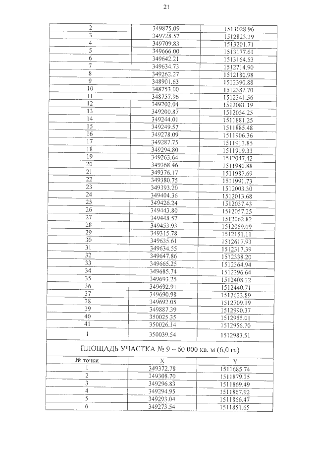
Постановление Правительства Республики Карелия от 29.09.2020 № 480-П
"Об изменении границ земель, на которых расположены леса, находящиеся в лесопарковой зоне на территории Прионежского лесничества Республики Карелия"
Номер опубликования: 1000202010010001
Дата опубликования: 01.10.2020
Страница №23 из 41:
Увеличить