Официальное опубликование правовых актов
ОФИЦИАЛЬНОЕ ОПУБЛИКОВАНИЕ
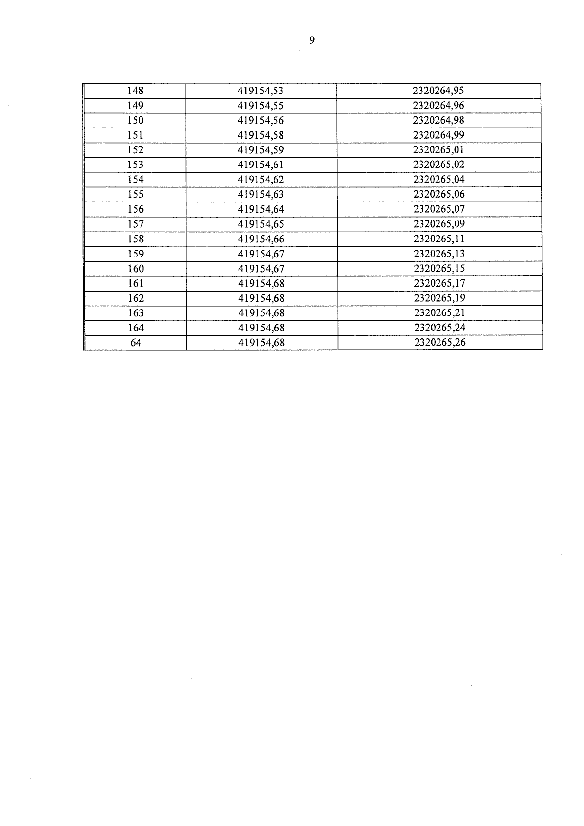
Указ Главы Республики Калмыкия от 04.06.2025 № 116
"Об охранной зоне памятника природы Республики Калмыкия "Дубовая роща" г. Элиста"
Номер опубликования: 0800202506090004
Дата опубликования: 09.06.2025
Страница №9 из 16:
Увеличить