Указ Главы Республики Калмыкия от 04.06.2025 № 116
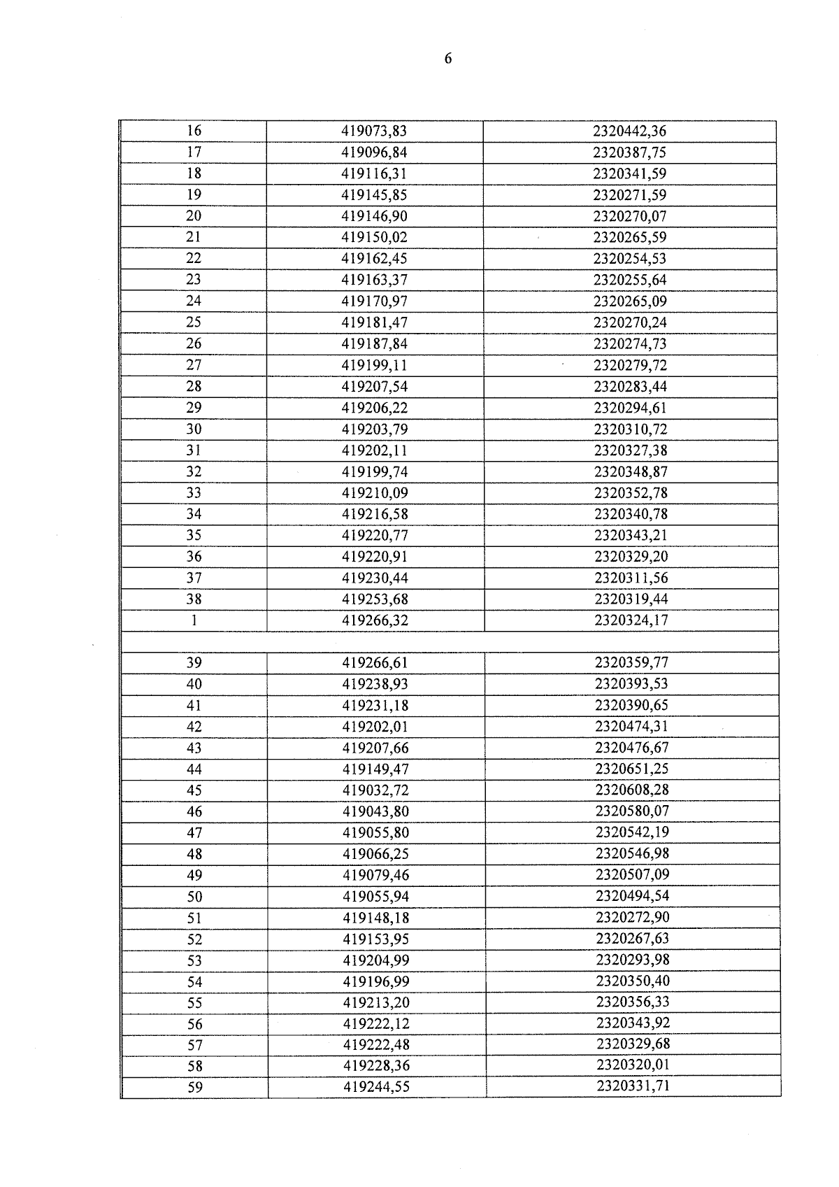
"Об охранной зоне памятника природы Республики Калмыкия "Дубовая роща" г. Элиста"
"Об охранной зоне памятника природы Республики Калмыкия "Дубовая роща" г. Элиста"
Номер опубликования: 0800202506090004
Дата опубликования:
09.06.2025
