Официальное опубликование правовых актов
ОФИЦИАЛЬНОЕ ОПУБЛИКОВАНИЕ
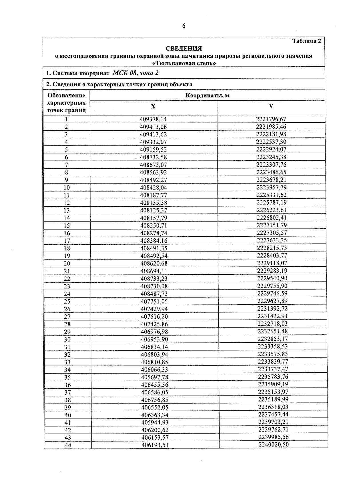
Указ Главы Республики Калмыкия от 27.12.2024 № 314
"Об охранной зоне памятника природы Республики Калмыкия "Тюльпановая степь"
Номер опубликования: 0800202412280007
Дата опубликования: 28.12.2024
Страница №6 из 25:
Увеличить