Официальное опубликование правовых актов
ОФИЦИАЛЬНОЕ ОПУБЛИКОВАНИЕ
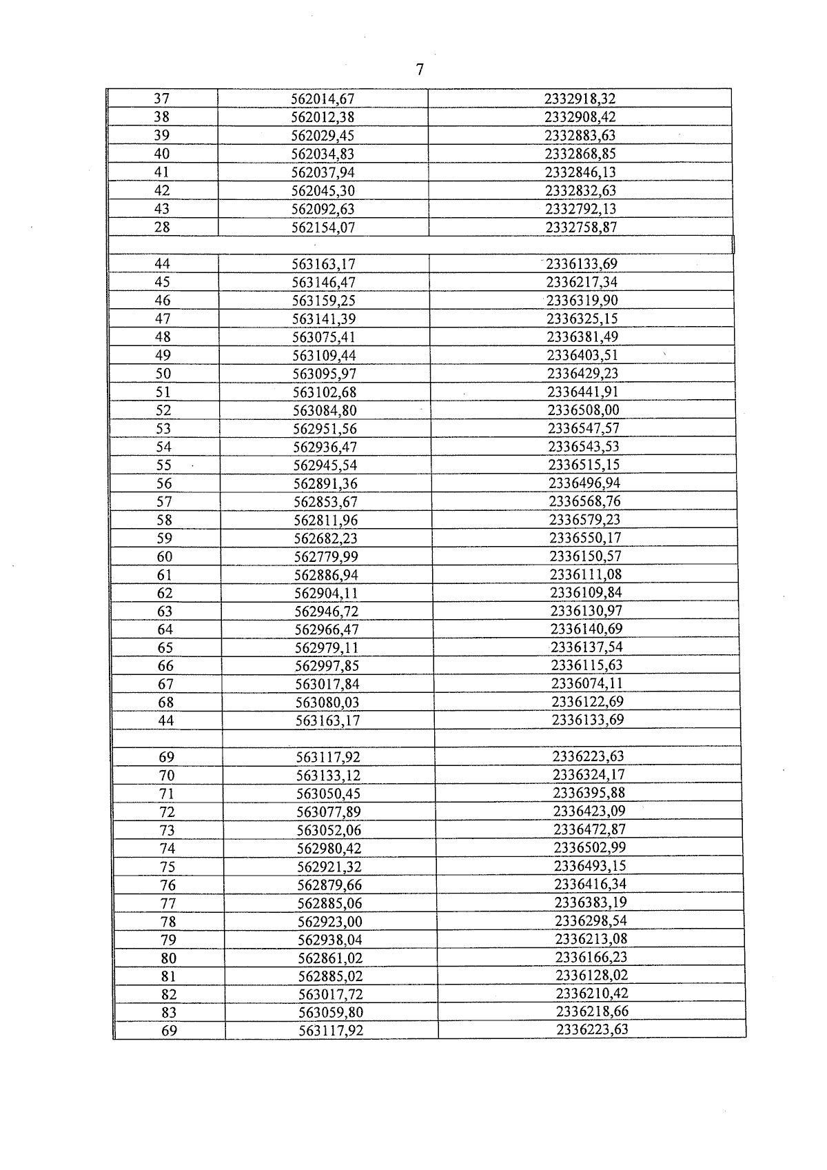
Указ Главы Республики Калмыкия от 27.12.2024 № 311
"Об охранной зоне памятника природы Республики Калмыкия "Байрачный лес"
Номер опубликования: 0800202412280005
Дата опубликования: 28.12.2024
Страница №7 из 15:
Увеличить