Официальное опубликование правовых актов
ОФИЦИАЛЬНОЕ ОПУБЛИКОВАНИЕ
Постановление Правительства Кабардино-Балкарской Республики от 05.08.2016 № 143-ПП
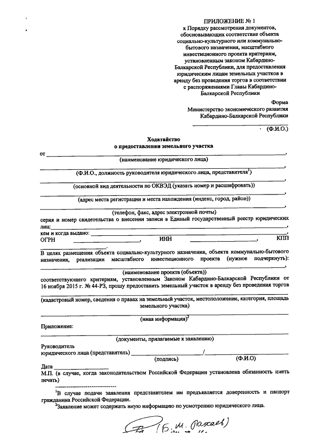
"Об утверждении Порядка рассмотрения документов, обосновывающих соответствие объекта социально-культурного или коммунально-бытового назначения, масштабного инвестиционного проекта критериям, установленным законом Кабардино-Балкарской Республики, для предоставления юридическим лицам земельных участков в аренду без проведения торгов в соответствии с распоряжениями Главы Кабардино-Балкарской Республики"
Номер опубликования: 0700201608080003
Дата опубликования: 08.08.2016
Страница №12 из 17:
Увеличить