Официальное опубликование правовых актов
ОФИЦИАЛЬНОЕ ОПУБЛИКОВАНИЕ
Постановление Правительства Республики Ингушетия от 28.08.2023 № 127
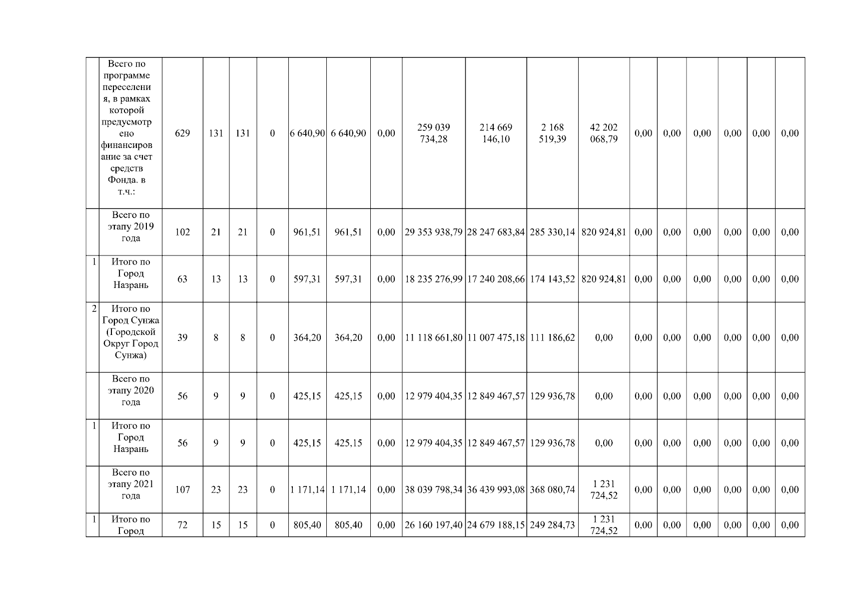
"О внесении изменений в республиканскую адресную программу "Переселение граждан из аварийного жилищного фонда Республики Ингушетия в 2019-2024 годах"
Номер опубликования: 0600202309010001
Дата опубликования: 01.09.2023
Страница №17 из 32:
Увеличить