Официальное опубликование правовых актов
ОФИЦИАЛЬНОЕ ОПУБЛИКОВАНИЕ
Постановление Правительства Республики Ингушетия от 02.06.2023 № 91
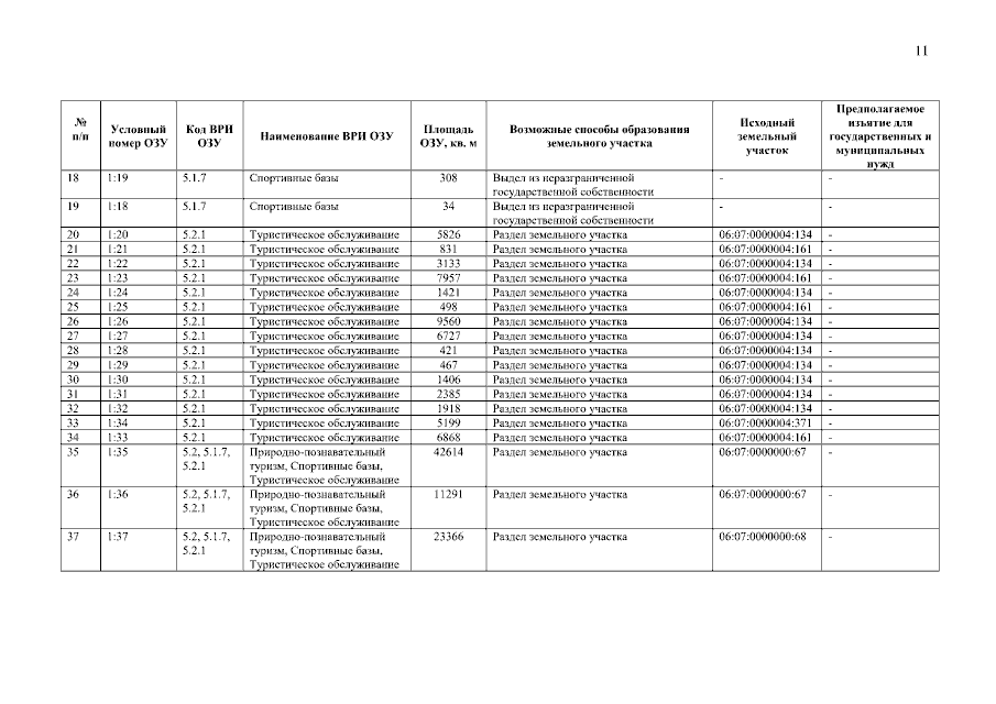
"Об утверждении проекта планировки территории и проекта межевания территории всесезонного туристско-рекреационного комплекса "Армхи" и прилегающей к нему территории, входящих в туристско-рекреационную особую экономическую зону, созданную на территориях Джейрахского и Сунженского муниципальных районов Республики Ингушетия"
Номер опубликования: 0600202306090004
Дата опубликования: 09.06.2023
Страница №47 из 108:
Увеличить