Официальное опубликование правовых актов
ОФИЦИАЛЬНОЕ ОПУБЛИКОВАНИЕ
Приказ Министерства природных ресурсов и экологии Республики Алтай от 18.05.2023 № 277
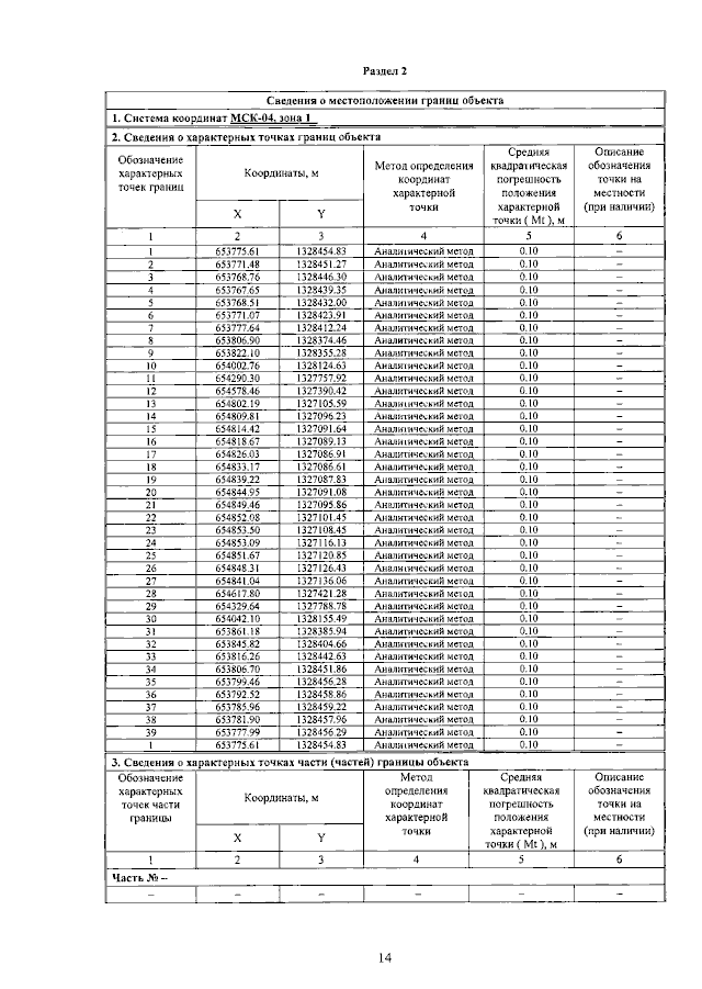
"Об установлении зоны санитарной охраны на водозаборное сооружение скважина Г 9а/81, расположенное в селе Подгорное Майминский район Республика Алтай"
Номер опубликования: 0401202305220005
Дата опубликования: 22.05.2023
Страница №14 из 19:
Увеличить