Официальное опубликование правовых актов
ОФИЦИАЛЬНОЕ ОПУБЛИКОВАНИЕ
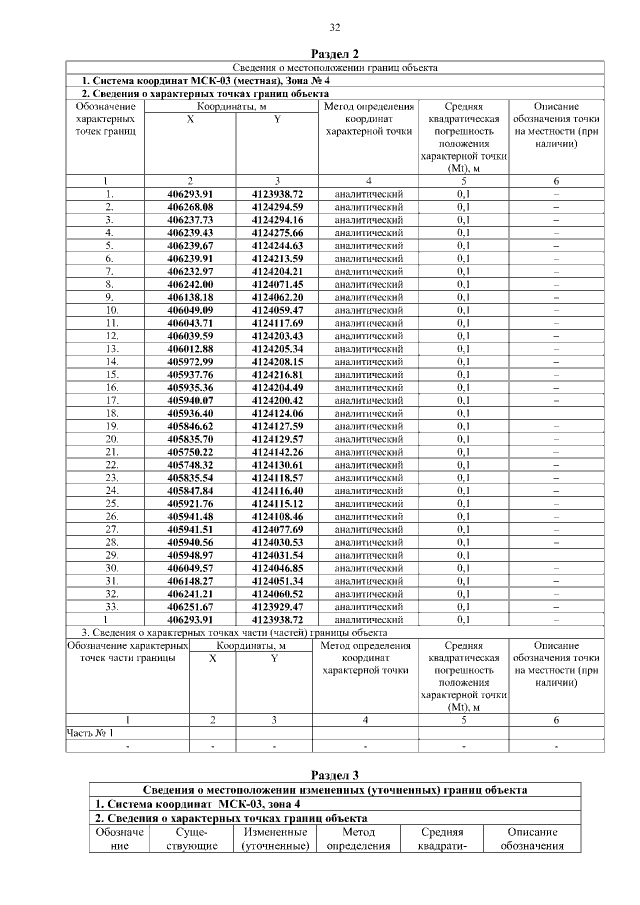
Приказ Администрации Главы Республики Бурятия и Правительства Республики Бурятия от 22.02.2022 № 142д
"Об утверждении границ зон охраны объектов культурного наследия регионального значения, расположенных в Тарбагатайском, Джидинском, Кяхтинском и Бичурском районах Республики Бурятия, режимов использования земель и требований к градостроительным регламентам в границах данных зон"
(Зарегистрирован 10.03.2022 № 032022065)
Номер опубликования: 0301202203150002
Дата опубликования: 15.03.2022
Страница №34 из 74:
Увеличить