Официальное опубликование правовых актов
ОФИЦИАЛЬНОЕ ОПУБЛИКОВАНИЕ
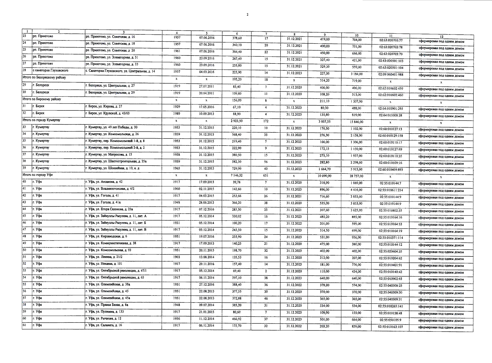
Постановление Правительства Республики Башкортостан от 14.03.2025 № 111
"Об итогах реализации Адресной программы Республики Башкортостан по переселению граждан из аварийного жилищного фонда на 2019-2023 годы"
Номер опубликования: 0200202503210001
Дата опубликования: 21.03.2025
Страница №6 из 19:
Увеличить