Постановление Правительства Республики Башкортостан от 14.03.2025 № 111
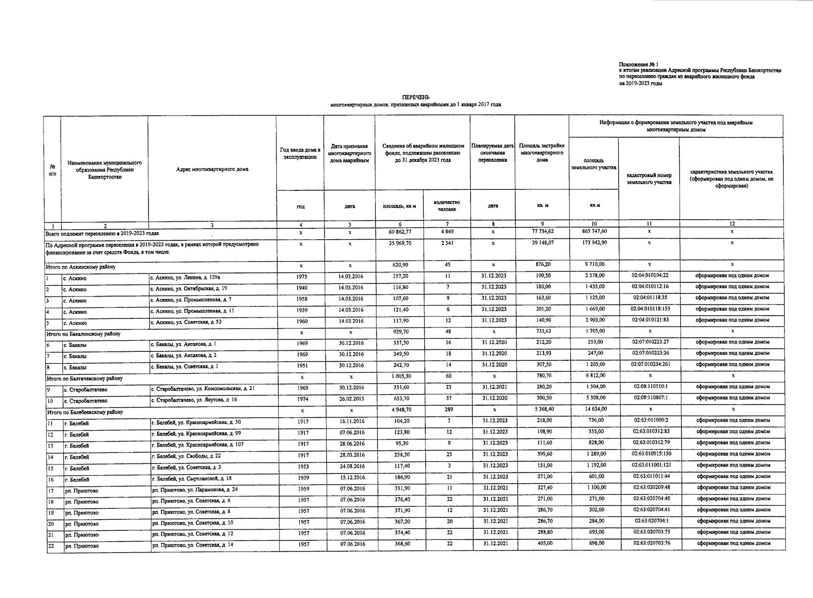
"Об итогах реализации Адресной программы Республики Башкортостан по переселению граждан из аварийного жилищного фонда на 2019-2023 годы"
"Об итогах реализации Адресной программы Республики Башкортостан по переселению граждан из аварийного жилищного фонда на 2019-2023 годы"
Номер опубликования: 0200202503210001
Дата опубликования:
21.03.2025
