Официальное опубликование правовых актов
ОФИЦИАЛЬНОЕ ОПУБЛИКОВАНИЕ
Постановление Правительства Республики Башкортостан от 22.09.2023 № 575
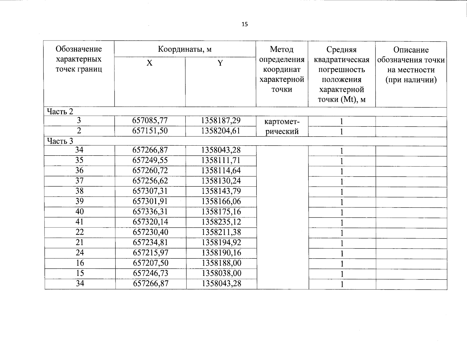
"Об утверждении границ объединенной зоны охраны объектов культурного наследия регионального значения: "Мужское духовное училище", расположенного по адресу: Республика Башкортостан, г. Уфа, ул. Заки Валиди, 32 (Республика Башкортостан, г. Уфа, ул. Гоголя, 11); "Контрольная палата", расположенного по адресу: Республика Башкортостан, г. Уфа, ул. Гоголя, 13; "Здание главного корпуса Башкирского государственного университета", расположенного по адресу: Республика Башкортостан, г. Уфа, ул. Заки Валиди, 32"
Номер опубликования: 0200202309290008
Дата опубликования: 29.09.2023
Страница №17 из 38:
Увеличить