Официальное опубликование правовых актов
ОФИЦИАЛЬНОЕ ОПУБЛИКОВАНИЕ
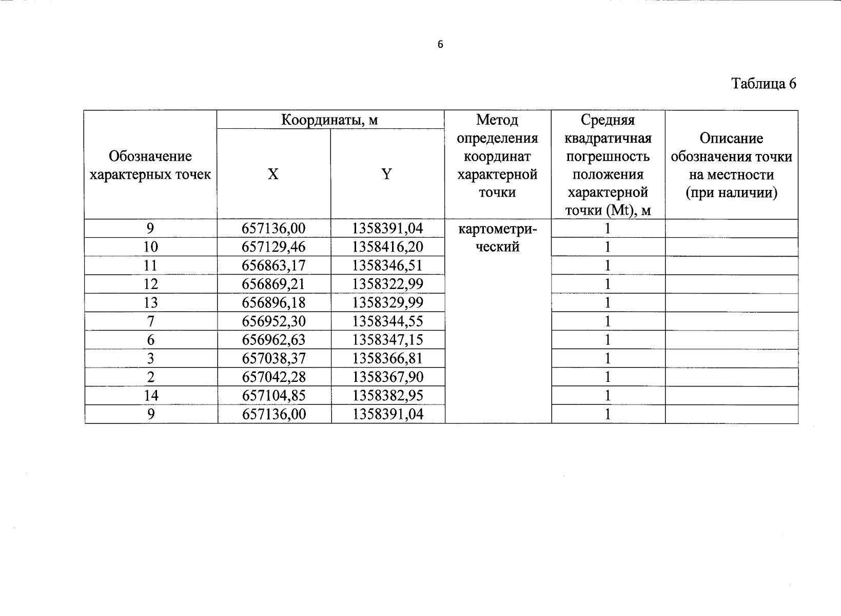
Постановление Правительства Республики Башкортостан от 22.09.2023 № 576
"Об утверждении границ зон охраны объекта культурного наследия федерального значения "Здание сельскохозяйственного института", расположенного по адресу: Республика Башкортостан, г. Уфа, Кировский район, ул. Карла Маркса, 3, режимов использования земель и требований к градостроительным регламентам в границах территорий данных зон и признании утратившим силу постановления Правительства Республики Башкортостан"
Номер опубликования: 0200202309290005
Дата опубликования: 29.09.2023
Страница №8 из 32:
Увеличить