Официальное опубликование правовых актов
ОФИЦИАЛЬНОЕ ОПУБЛИКОВАНИЕ
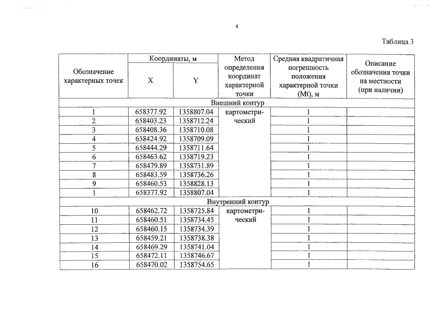
Постановление Правительства Республики Башкортостан от 25.11.2022 № 741
"Об утверждении границ зон охраны объекта культурного наследия регионального значения "Дом союзов", расположенного по адресу: Республика Башкортостан, г. Уфа, ул. Кирова, 1, режимов использования земель и требований к градостроительным регламентам в границах территории данных зон"
Номер опубликования: 0200202211290003
Дата опубликования: 29.11.2022
Страница №6 из 28:
Увеличить