Официальное опубликование правовых актов
ОФИЦИАЛЬНОЕ ОПУБЛИКОВАНИЕ
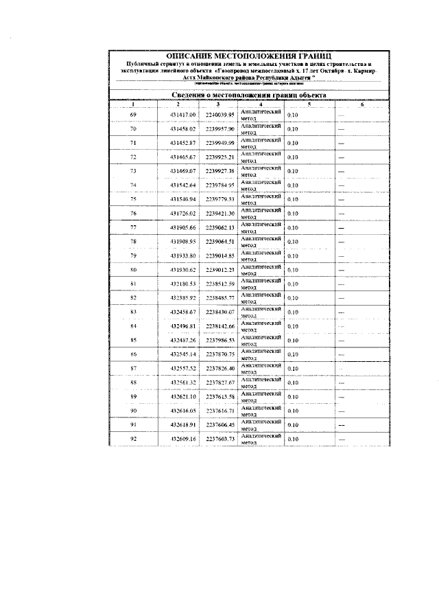
Приказ Комитета Республики Адыгея по имущественным отношениям от 06.07.2023 № 239
"Об установлении публичного сервитута с целью размещения объекта регионального значения"
(Зарегистрирован 12.07.2023 № 23-197)
Номер опубликования: 0101202307180004
Дата опубликования: 18.07.2023
Страница №30 из 33:
Увеличить