Официальное опубликование правовых актов
ОФИЦИАЛЬНОЕ ОПУБЛИКОВАНИЕ
Приказ Федерального агентства водных ресурсов от 07.07.2025 № 174
"Об утверждении Правил использования водных ресурсов Колымского и Усть-Среднеканского водохранилищ"
(Зарегистрирован 01.08.2025 № 83126)
Номер опубликования: 0001202508040002
Дата опубликования: 04.08.2025
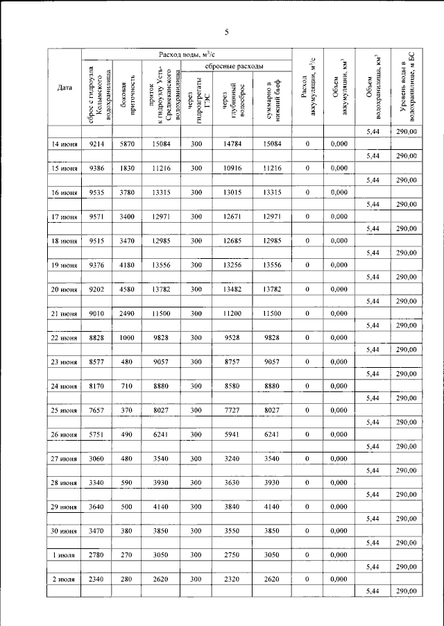
Страница №216 из 225:
Увеличить