Официальное опубликование правовых актов
ОФИЦИАЛЬНОЕ ОПУБЛИКОВАНИЕ
Приказ Министерства культуры Российской Федерации от 23.12.2024 № 2671
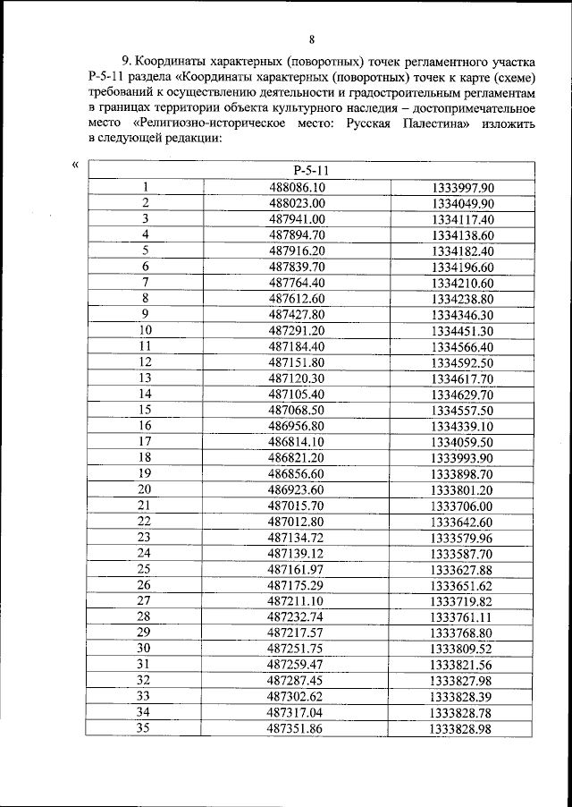
"О внесении изменений в приложение № 2 к приказу Министерства культуры Российской Федерации от 7 сентября 2017 г. № 1497 "О включении выявленного объекта культурного наследия - достопримечательное место "Религиозно-историческое место: Русская Палестина" (Московская область, Истринский район) в единый государственный реестр объектов культурного наследия (памятников истории и культуры) народов Российской Федерации в качестве объекта культурного наследия федерального значения, а также об утверждении границ, требований к осуществлению деятельности и градостроительным регламентам в границах его территории"
(Зарегистрирован 21.03.2025 № 81614)
Номер опубликования: 0001202503240006
Дата опубликования: 24.03.2025
Страница №8 из 19:
Увеличить