Официальное опубликование правовых актов
ОФИЦИАЛЬНОЕ ОПУБЛИКОВАНИЕ
Приказ Министерства культуры Российской Федерации от 13.08.2024 № 1546
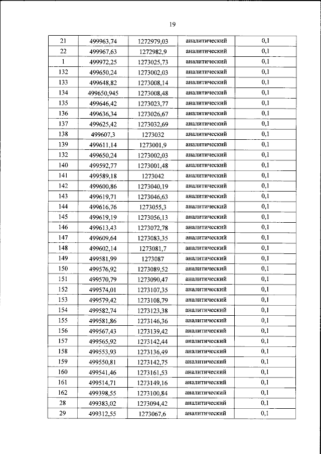
"Об утверждении границ зон охраны объекта культурного наследия федерального значения "Церковь Василия на горке", ХV в. (Псковская область), включенного в Список всемирного наследия и отнесенного к особо ценным объектам культурного наследия народов Российской Федерации, особых режимов использования земель и требований к градостроительным регламентам в границах территорий данных зон"
(Зарегистрирован 18.11.2024 № 80220)
Номер опубликования: 0001202411190018
Дата опубликования: 19.11.2024
Страница №19 из 31:
Увеличить