Официальное опубликование правовых актов
ОФИЦИАЛЬНОЕ ОПУБЛИКОВАНИЕ
Приказ Министерства культуры Российской Федерации от 13.08.2024 № 1541
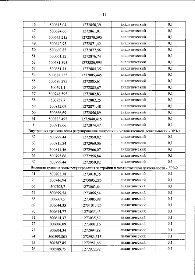
"Об утверждении границ зон охраны объекта культурного наследия федерального значения "Церковь Косьмы и Дамиана с Примостья, остатки колокольни, ворота и ограда", ХV - ХVII вв. (Псковская область), включенного в Список всемирного наследия и отнесенного к особо ценным объектам культурного наследия народов Российской Федерации, особых режимов использования земель и требований к градостроительным регламентам в границах территорий данных зон"
(Зарегистрирован 13.11.2024 № 80148)
Номер опубликования: 0001202411140022
Дата опубликования: 14.11.2024
Страница №11 из 18:
Увеличить