Официальное опубликование правовых актов
ОФИЦИАЛЬНОЕ ОПУБЛИКОВАНИЕ
Приказ Министерства культуры Российской Федерации от 03.09.2024 № 1687
"О внесении изменений в приложение № 4 к приказу Министерства культуры Российской Федерации от 30 октября 2020 г. № 1295 "Об утверждении предмета охраны, границ территории и требований к градостроительным регламентам в границах территории исторического поселения федерального значения город Санкт-Петербург"
(Зарегистрирован 20.09.2024 № 79538)
Номер опубликования: 0001202409200043
Дата опубликования: 20.09.2024
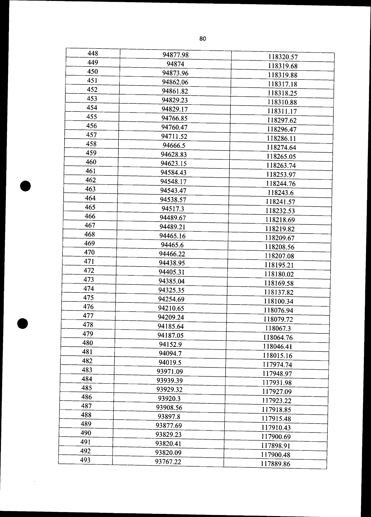
Страница №82 из 216:
Увеличить