Официальное опубликование правовых актов
ОФИЦИАЛЬНОЕ ОПУБЛИКОВАНИЕ
Приказ Министерства культуры Российской Федерации от 23.04.2024 № 766
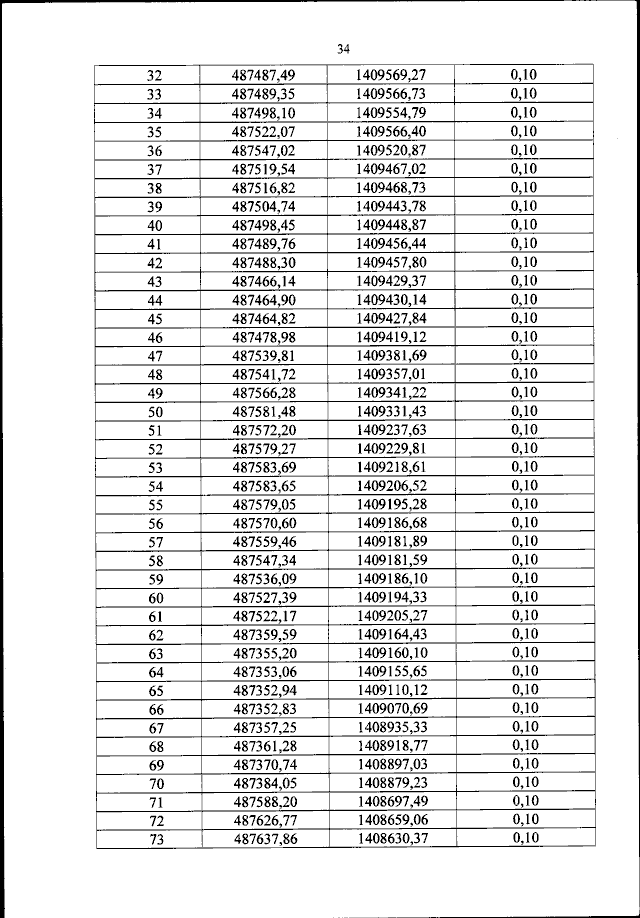
"Об утверждении требований к осуществлению деятельности и градостроительному регламенту в границах территории объекта культурного наследия федерального значения - достопримечательное место "Мамаев курган" — место ожесточенных боев в 1942-1943 гг.", 1942-1943 гг., расположенного по адресу: Волгоградская область, г. Волгоград, Мамаев курган"
(Зарегистрирован 26.07.2024 № 78935)
Номер опубликования: 0001202407290007
Дата опубликования: 29.07.2024
Страница №34 из 66:
Увеличить