Официальное опубликование правовых актов
ОФИЦИАЛЬНОЕ ОПУБЛИКОВАНИЕ
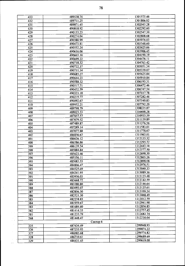
Приказ Министерства промышленности и торговли Российской Федерации от 27.05.2024 № 2304
"Об установлении приаэродромной территории аэродрома экспериментальной авиации Казань (Борисоглебское)"
(Зарегистрирован 28.06.2024 № 78710)
Номер опубликования: 0001202407010016
Дата опубликования: 01.07.2024
Страница №79 из 308:
Увеличить