Официальное опубликование правовых актов
ОФИЦИАЛЬНОЕ ОПУБЛИКОВАНИЕ
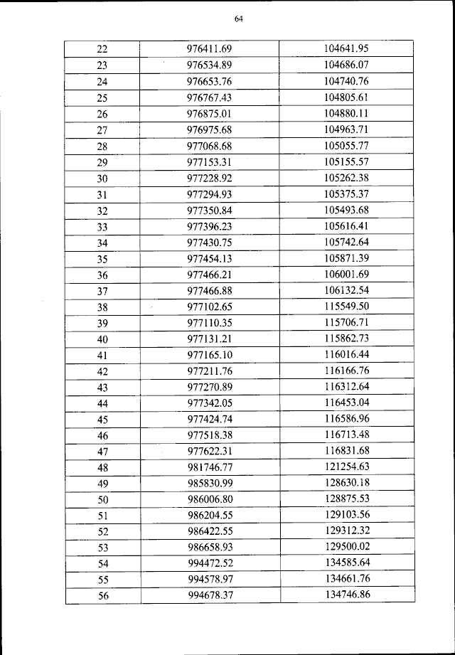
Приказ Федерального агентства воздушного транспорта от 21.05.2024 № 483-П
"Об установлении приаэродромной территории аэродрома гражданской авиации Кодинск"
(Зарегистрирован 21.06.2024 № 78637)
Номер опубликования: 0001202406240003
Дата опубликования: 24.06.2024
Страница №65 из 83:
Увеличить