Приказ Министерства культуры Российской Федерации от 15.05.2024 № 897
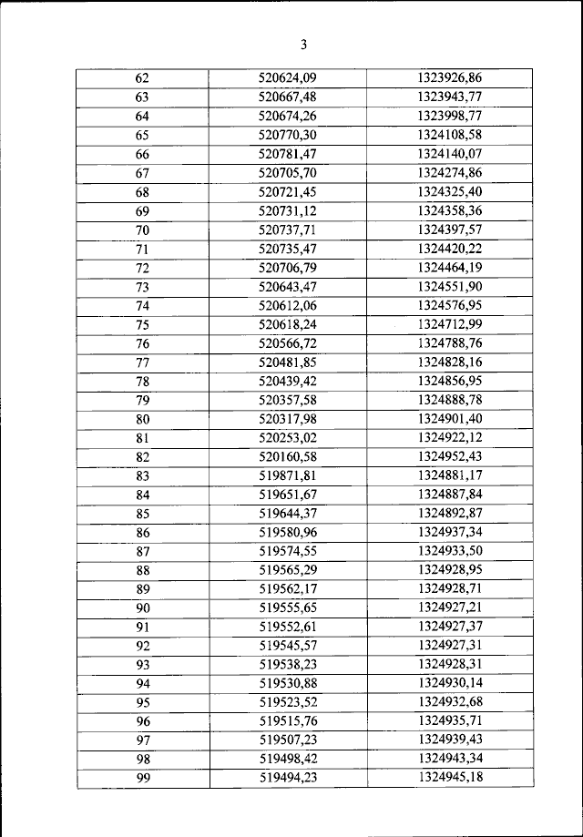
"О включении выявленного объекта культурного наследия "Памятное место - родина П.П. Семенова-Тян-Шанского", ХVIII - ХХ вв. (Липецкая область, Чаплыгинский район, окрестности д. Рязанка) в единый государственный реестр объектов культурного наследия (памятников истории и культуры) народов Российской Федерации в качестве объекта культурного наследия федерального значения и утверждении границ его территории"
(Зарегистрирован 20.06.2024 № 78607)
"О включении выявленного объекта культурного наследия "Памятное место - родина П.П. Семенова-Тян-Шанского", ХVIII - ХХ вв. (Липецкая область, Чаплыгинский район, окрестности д. Рязанка) в единый государственный реестр объектов культурного наследия (памятников истории и культуры) народов Российской Федерации в качестве объекта культурного наследия федерального значения и утверждении границ его территории"
(Зарегистрирован 20.06.2024 № 78607)
Номер опубликования: 0001202406200017
Дата опубликования:
20.06.2024
