Официальное опубликование правовых актов
ОФИЦИАЛЬНОЕ ОПУБЛИКОВАНИЕ
Приказ Министерства природных ресурсов и экологии Российской Федерации от 20.05.2024 № 302
"Об утверждении Положения о национальном парке "Зов тигра"
(Зарегистрирован 18.06.2024 № 78587)
Номер опубликования: 0001202406190005
Дата опубликования: 19.06.2024
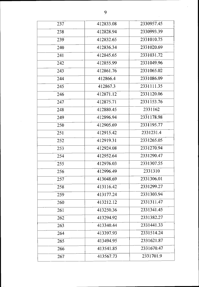
Страница №22 из 78:
Увеличить