Официальное опубликование правовых актов
ОФИЦИАЛЬНОЕ ОПУБЛИКОВАНИЕ
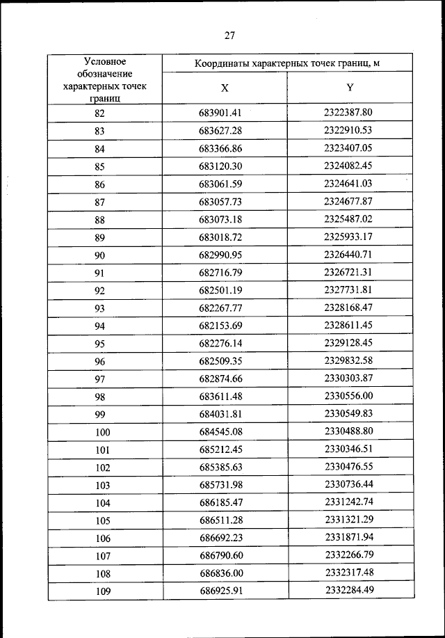
Приказ Министерства природных ресурсов и экологии Российской Федерации от 13.03.2024 № 164
"Об утверждении Положения о национальном парке "Черский" имени А.В. Андреева"
(Зарегистрирован 10.06.2024 № 78513)
Номер опубликования: 0001202406110005
Дата опубликования: 11.06.2024
Страница №41 из 46:
Увеличить