Официальное опубликование правовых актов
ОФИЦИАЛЬНОЕ ОПУБЛИКОВАНИЕ
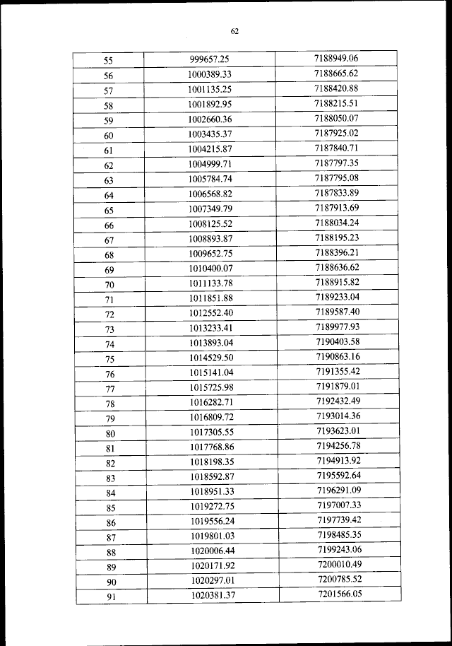
Приказ Федерального агентства воздушного транспорта от 25.04.2024 № 429-П
"Об установлении приаэродромной территории аэродрома гражданской авиации Бодайбо"
(Зарегистрирован 03.06.2024 № 78446)
Номер опубликования: 0001202406030040
Дата опубликования: 03.06.2024
Страница №63 из 110:
Увеличить