Официальное опубликование правовых актов
ОФИЦИАЛЬНОЕ ОПУБЛИКОВАНИЕ
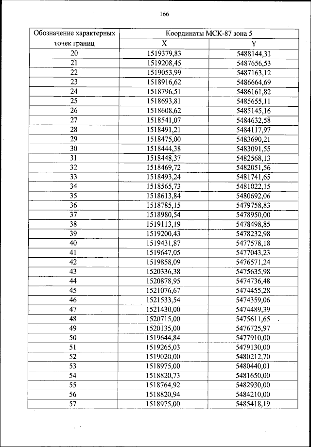
Приказ Федерального агентства воздушного транспорта от 15.01.2024 № 16-П
"Об установлении приаэродромной территории аэродрома гражданской авиации Певек"
(Зарегистрирован 16.04.2024 № 77898)
Номер опубликования: 0001202404170014
Дата опубликования: 17.04.2024
Страница №167 из 261:
Увеличить