Официальное опубликование правовых актов
ОФИЦИАЛЬНОЕ ОПУБЛИКОВАНИЕ
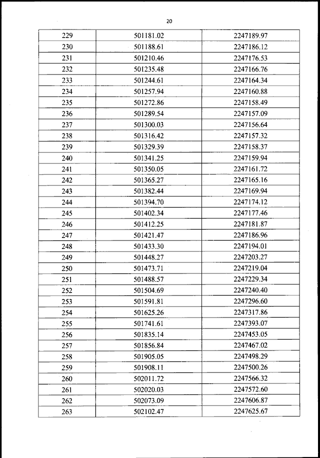
Приказ Федерального агентства воздушного транспорта от 13.03.2024 № 268-П
"Об установлении приаэродромной территории аэродрома гражданской авиации Ульяновск (Баратаевка)"
(Зарегистрирован 12.04.2024 № 77839)
Номер опубликования: 0001202404120011
Дата опубликования: 12.04.2024
Страница №21 из 171:
Увеличить