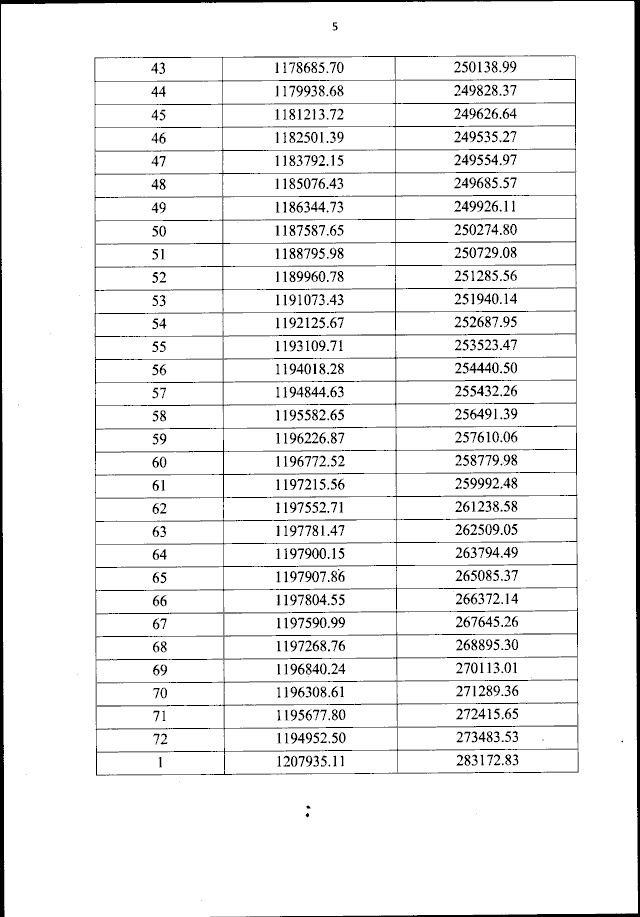
Приказ Федерального агентства воздушного транспорта от 01.03.2024 № 223-П
"Об установлении приаэродромной территории аэродрома гражданской авиации Подкаменная Тунгуска"
(Зарегистрирован 03.04.2024 № 77756)
"Об установлении приаэродромной территории аэродрома гражданской авиации Подкаменная Тунгуска"
(Зарегистрирован 03.04.2024 № 77756)
Номер опубликования: 0001202404030021
Дата опубликования:
03.04.2024
