Официальное опубликование правовых актов
ОФИЦИАЛЬНОЕ ОПУБЛИКОВАНИЕ
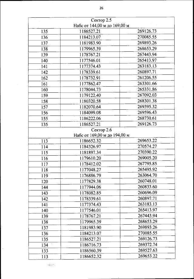
Приказ Федерального агентства воздушного транспорта от 01.03.2024 № 223-П
"Об установлении приаэродромной территории аэродрома гражданской авиации Подкаменная Тунгуска"
(Зарегистрирован 03.04.2024 № 77756)
Номер опубликования: 0001202404030021
Дата опубликования: 03.04.2024
Страница №27 из 87:
Увеличить