Приказ Министерства культуры Российской Федерации от 20.02.2024 № 312
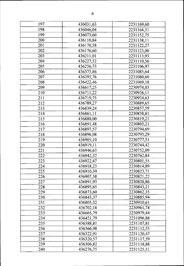
"О включении выявленного объекта культурного наследия "Научный городок физиолога И.П. Павлова на Колтушской возвышенности и Колтушское шоссе (часть)", 1932-1937 гг., середина ХХ века (Ленинградская область, Всеволожский район, с. Павлово, г. Колтуши (ранее д. Колтуши и д. Старая), д. Колбино, д. Токкари, д. Янино-2, д. Суоранда, д. Хирвости) в единый государственный реестр объектов культурного наследия (памятников истории и культуры) народов Российской Федерации в качестве объекта культурного наследия федерального значения и утверждении границ его территории"
(Зарегистрирован 02.04.2024 № 77752)
"О включении выявленного объекта культурного наследия "Научный городок физиолога И.П. Павлова на Колтушской возвышенности и Колтушское шоссе (часть)", 1932-1937 гг., середина ХХ века (Ленинградская область, Всеволожский район, с. Павлово, г. Колтуши (ранее д. Колтуши и д. Старая), д. Колбино, д. Токкари, д. Янино-2, д. Суоранда, д. Хирвости) в единый государственный реестр объектов культурного наследия (памятников истории и культуры) народов Российской Федерации в качестве объекта культурного наследия федерального значения и утверждении границ его территории"
(Зарегистрирован 02.04.2024 № 77752)
Номер опубликования: 0001202404030003
Дата опубликования:
03.04.2024
