Официальное опубликование правовых актов
ОФИЦИАЛЬНОЕ ОПУБЛИКОВАНИЕ
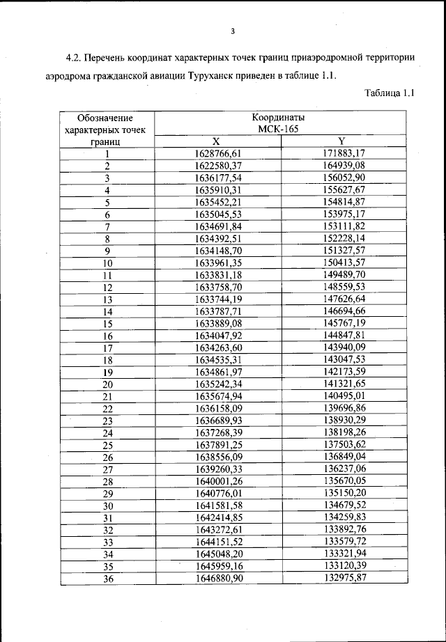
Приказ Федерального агентства воздушного транспорта от 19.02.2024 № 172-П
"Об установлении приаэродромной территории аэродрома гражданской авиации Туруханск"
(Зарегистрирован 21.03.2024 № 77577)
Номер опубликования: 0001202403220007
Дата опубликования: 22.03.2024
Страница №4 из 84:
Увеличить