Официальное опубликование правовых актов
ОФИЦИАЛЬНОЕ ОПУБЛИКОВАНИЕ
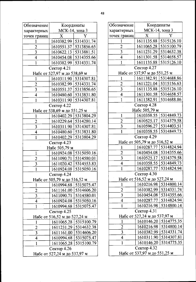
Приказ Федерального агентства воздушного транспорта от 19.02.2024 № 171-П
"Об установлении приаэродромной территории аэродрома гражданской авиации Саккырыр"
(Зарегистрирован 20.03.2024 № 77566)
Номер опубликования: 0001202403200012
Дата опубликования: 20.03.2024
Страница №49 из 118:
Увеличить