Официальное опубликование правовых актов
ОФИЦИАЛЬНОЕ ОПУБЛИКОВАНИЕ
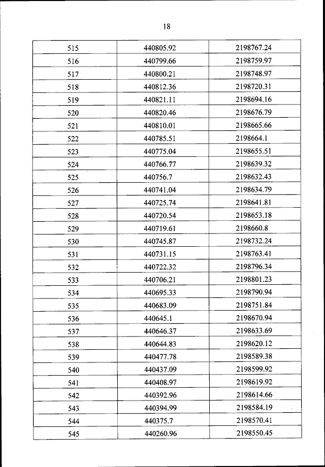
Приказ Министерства природных ресурсов и экологии Российской Федерации от 18.01.2024 № 25
"Об утверждении Положения о государственном природном заказнике федерального значения "Каменная степь"
(Зарегистрирован 20.02.2024 № 77313)
Номер опубликования: 0001202402210003
Дата опубликования: 21.02.2024
Страница №27 из 41:
Увеличить