Официальное опубликование правовых актов
ОФИЦИАЛЬНОЕ ОПУБЛИКОВАНИЕ
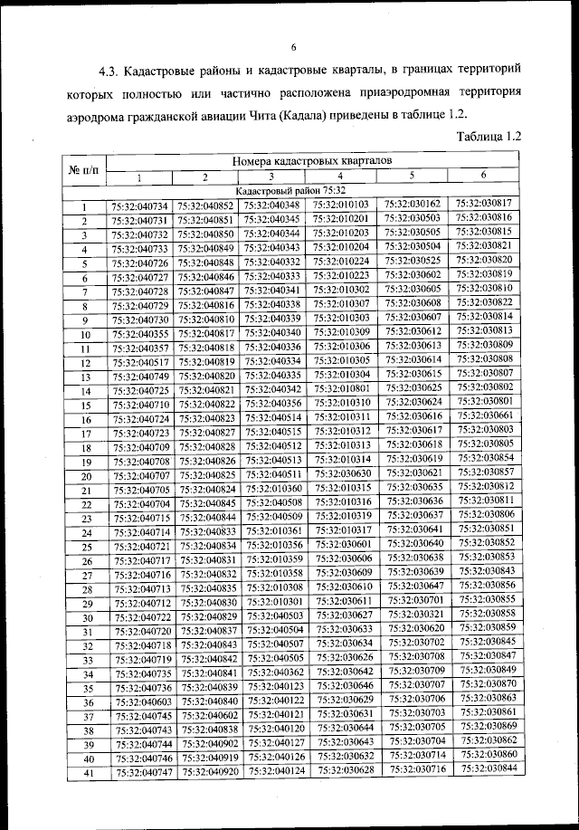
Приказ Федерального агентства воздушного транспорта от 26.12.2023 № 1201-П
"Об установлении приаэродромной территории аэродрома гражданской авиации Чита (Кадала)"
(Зарегистрирован 06.02.2024 № 77141)
Номер опубликования: 0001202402060013
Дата опубликования: 06.02.2024
Страница №7 из 155:
Увеличить