Официальное опубликование правовых актов
ОФИЦИАЛЬНОЕ ОПУБЛИКОВАНИЕ
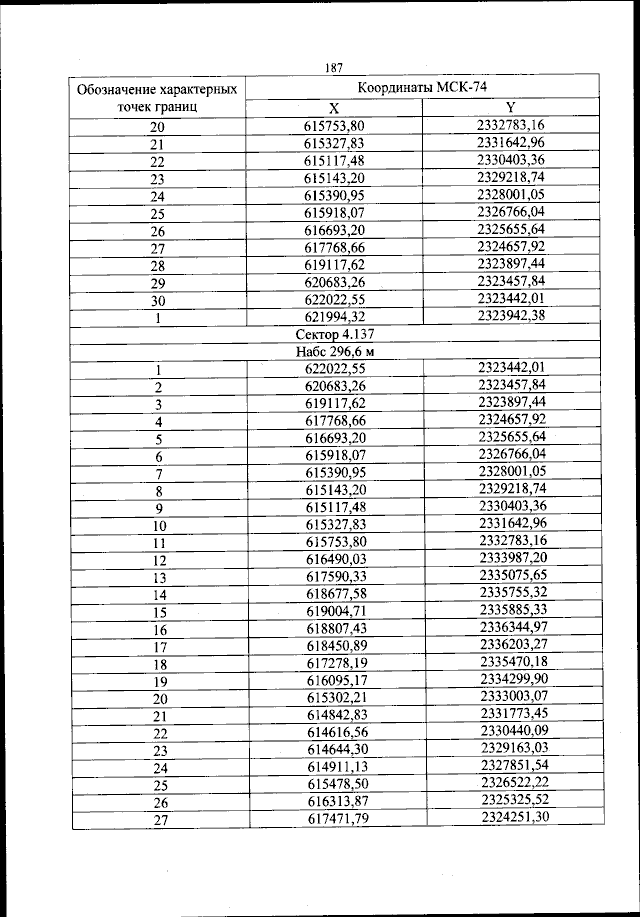
Приказ Федерального агентства воздушного транспорта от 21.12.2023 № 1175-П
"Об установлении приаэродромной территории аэродрома гражданской авиации Челябинск (Баландино)"
(Зарегистрирован 29.01.2024 № 77019)
Номер опубликования: 0001202401300013
Дата опубликования: 30.01.2024
Страница №188 из 270:
Увеличить